Уровень ХГЧ по неделям беременности меняется по-разному: этот гормон начинает синтезироваться уже в первые часы после зачатия, а к концу 3-го акушерского месяца беременности его концентрация увеличивается в несколько раз. Попробуем разобраться, на что влияет ХГЧ при беременности и как связан его уровень со сроком.
Что такое ХГЧ?
ХГЧ — хорионический гонадотропин. Этот гормон относится к категории гонадотропных, т.е. он непосредственно регулирует работу половой системы. Его синтезирует оплодотворенная яйцеклетка, а точнее — ее часть, трофобласт, из которого позже сформируется плацента. Усиленная выработка ХГЧ начинается в тот момент, когда ворсинки хориона зародыша в процессе имплантации начинают прорастать в эндометрий матки. В норме ХГЧ выше 5 мМе/мл может наблюдаться только в женском организме и только при условии наступления зачатия. Именно поэтому его также называют гормоном беременности. При отсутствии зачатия повышение уровня этого гормона может свидетельствовать о развитии патологических процессов, в частности — образованию опухолей у мужчин и женщин.
Мнение врача:
ХГЧ, или гормон хорионического гонадотропина, играет важную роль в диагностике беременности. Врачи отмечают, что уровень ХГЧ в крови женщины может значительно варьироваться в зависимости от длительности беременности. Например, в первые недели беременности уровень ХГЧ обычно удваивается каждые 48-72 часа, достигая пика к 8-11 неделям, а затем постепенно снижается. Существуют таблицы, помогающие интерпретировать уровень ХГЧ в разные периоды беременности, однако каждый организм индивидуален, и лишь врач может правильно оценить данные и дать рекомендации. Важно помнить, что ХГЧ – лишь один из многих показателей, и для точного диагноза необходимо комплексное обследование.

На что влияет ХГЧ
ХГЧ на ранних сроках беременности регулирует многие изменения в работе половой системы.
Синтез других гормонов
Благодаря повышению уровня ХГЧ при беременности активизируется процесс выработки других важных гормонов. Первый — эстроген, он способствует правильному развитию малыша, поддерживает ряд физиологических изменений в организме женщины в процессе вынашивания ребенка, готовит ее тело к лактации. Второй гормон — прогестерон. Он «работает» в первую очередь на создание оптимальных условий для сохранения и развития плода: готовит матку для правильной имплантации, балансирует действие эстрогена, расслабляет связки и мышцы, накапливает подкожный жир у беременной для «запаса» нужных питательных веществ для плода.

На что влияет «гормон беременности»?

Опыт других людей
ХГЧ (гормон хорионического гонадотропина) является важным показателем при беременности. Уровень ХГЧ у женщин может значительно различаться в зависимости от недели беременности. Например, в первые недели он быстро растет, достигая пика к 10-й неделе, а затем постепенно снижается. Таблица уровня ХГЧ по неделям помогает контролировать его изменения. Расшифровка результатов анализа ХГЧ позволяет врачам оценить развитие беременности и выявить возможные проблемы. Важно помнить, что каждый организм индивидуален, поэтому рекомендуется обсуждать результаты анализов с врачом.
Сохранение желтого тела
Желтым, или лютеиновым телом называют временную эндокринную железу. Она образуется после овуляции, когда созревшая яйцеклетка покидает фолликул. Если в текущем цикле случилось зачатие, то примерно до 4 месяца беременности желтое тело будет участвовать в развитии эмбриона и его питании. После все его функции возьмет на себя плацента.
Блокировка иммунной агрессии
Организм женщины имплантирующийся эмбрион воспринимает как угрозу. Он старается «защититься» и атакует его. Чтобы сохранить беременность, необходимо подавить иммунную агрессию материнского организма по отношению к клеткам плода. Во многом на этот процесс влияет хорионический гонадотропин.
«Запуск» анатомических и физиологических изменений в теле будущей матери
Говоря простым языком, хорионический гонадотропин переводит организм женщины в «беременный» режим. Косвенно или напрямую он оказывает влияние практически на все процессы, в частности — обеспечивает правильное формирование и нормальную работу плаценты.
Влияние на половую дифференциацию у мальчиков
Благодаря ХГЧ половые органы мальчиков развиваются по мужскому типу. Кроме того, этот гормон будет стимулировать работу половых желез и надпочечников малыша.

ХГЧ регулирует развитие беременности на ранних сроках
Зачем назначают анализ ХГЧ при беременности?
Кровь на ХГЧ при беременности сдают в первую очередь для того, чтобы точно установить факт ее наступления. В отличие от аптечных тестов, такой анализ исключает какие-либо ошибки из-за несоблюдения инструкций и неправильной интерпретации результата. Иногда женщине рекомендуют сдать анализ несколько раз: оценка роста уровня ХГЧ в динамике позволяет удостовериться в том, что беременность на ранних сроках развивается нормально. Особенно важен этот параметр в тех случаях, если пара планировала ребенка или обращалась в специализированную клинику вспомогательных репродуктивных технологий.
По ХГЧ можно примерно определить срок беременности, а также такую ее особенность, как количество плодов. Если женщина ждет двойню или тройню, концентрация хорионического гонадотропина будет в разы выше обычного.
Более того, показатель ХГЧ при беременности на ранних сроках учитывается и при проведении так называемого двойного теста в рамках первого пренатального скрининга. Цель этого исследования, которое всегда проводится «в связке» с развернутым УЗИ, — исключить тяжелые отклонения в развитии плода. Повышение хорионического гонадотропина β-типа при одноплодной беременности может быть симптомом синдрома Дауна, наличия сахарного диабета у будущей матери или развития тяжелого токсикоза, требующего медицинского контроля. Если показатели, наоборот, снижены, необходимо исключить синдром Эдвардса, плацентарную недостаточность и другие факторы, которые повышают риск невынашивания.

Зачем нужен анализ на ХГЧ при беременности?
Бета-ХГЧ: норма при беременности
В структуре хорионического гонадотропина присутствуют две субъединицы — альфа и бета. Альфа соответствует аналогичным субъединицам гипофизарных гормонов и при исследованиях для будущих мам не рассматривается. Когда определяют показатели ХГЧ при беременности, рассматривают, как правило, бета-субъединицу. Именно ее распознают реагенты, используемые в аптечных тестах всех видов, а также маркеры, которые применяются при выполнении лабораторных анализов.
Уровень ХГЧ в норме при беременности начинает удваиваться сразу после имплантации примерно каждые два дня. Его рост в зависимости от индивидуальных особенностей организма будущей мамы продолжается в течение 8-10 акушерских недель (то есть со дня последней менструации) и достигает «рекордных» показателей в конце первого триместра. После этого при нормальном развитии плода и правильном течении физиологических процессов концентрация хорионического гонадотропина понижается. К 18-20-й неделе акушерской беременности уровень ХГЧ стабилизируется и остается на одной отметке практически до самых родов.

Как меняется уровень ХГЧ
В плазме крови повышенный уровень ХГЧ при беременности отслеживается уже на 9-10-е сутки после овуляции. Если, например, пара планировала ребенка и следила за фазами цикла, уже за 5-6 дней до предполагаемой даты начала месячных женщина может сдать первый анализ. Хорионический гонадотропин перерабатывается в почках и выводится из организма вместе с мочой. На этом факте основан принцип действия аптечных тестов на беременность. Самые простые и недорогие их модели дают точный результат уже через 28-30 дней после начала прошлой менструации. Более чувствительные электронные тесты можно использовать еще до задержки.
Нормальная динамика роста и снижения показателей ХГЧ во время беременности позволяет контролировать ее течение на разных сроках.
ХГЧ на 2-й неделе беременности
Вторая фактическая неделя беременности обычно приходится на самый конец текущего менструального цикла. При его продолжительности в 28-30 дней овуляция должна была состояться на 12-15 сутки. Если в это время яйцеклетка встречается со сперматозоидом, можно говорить о зачатии. В течение нескольких суток, как правило, не более 3-5, зародыш, образовавшийся при слиянии половых клеток, продолжает движение из фаллопиевых труб в полость матки. Там он начинает имплантироваться: ворсинки хориона его оболочки врастают в размягченный под действием гормонов эндометрий, благодаря чему запускаются обменные процессы между организмами матери и плода. Именно в это время активизируется синтез хорионического гонадотропина. Без беременности уровень ХГЧ не превышает 1,5-5 мМе/мл. На 9-10-й день после овуляции максимальная его концентрация может составить 5,3-13,1 мМе/мл, на 12-е сутки — от 20 до 59 мМе/мл.

Тесты на беременность реагируют на определенный уровень ХГЧ
Какой ХГЧ на 2-й неделе беременности? В норме через 14 дней после овуляции, т.е. примерно в конце текущего менструального цикла или в первые сутки задержки, уровень хорионического гонадотропина может варьироваться от 50 до 300 мМе/мл. Благодаря этому его с максимальной точностью «распознает» любой аптечный тест с чувствительностью более 25 мМе/мл. Трехзначные цифры в анализе крови на также ХГЧ подтверждают беременность.
ХГЧ на 4-5-й неделе беременности
4-5-я акушерская неделя беременности совпадают с возрастом эмбриона в 2-3 недели. В это время бластоциста, внутри которой развивается эмбрион, уже имплантировалась в полости матки и стремительно развивается. Одновременно с этим начинается процесс формирования плаценты, матка становится круглой — это может заметить врач при пальпации и УЗ-диагност при обследовании. Задержка на таком сроке превышает 5-7 дней, поэтому любая женщина, которая имеет представление о продолжительности своего менструального цикла, наверняка задумается о беременности.
Абсолютно точные сроки реальной беременности определить практически невозможно, т.к. нельзя узнать конкретный день, когда яйцеклетка соединилась со сперматозоидом, а зародыш закрепился в матке. Именно поэтому в большинстве таблиц с нормами ХГЧ по неделям беременности указывается довольно большой диапазон возможных показателей.

В первые недели уровень ХГЧ удваивается каждые два дня
Так, норма ХГЧ на 3-4-й неделе беременности в среднем составляет 2000 мМе/мл, а толерантные пределы варьируются от 1500 до 5000 мМе/мл.
Средний уровень ХГЧ на 4-5-й неделе беременности составляет 20000 мМе/мл при допустимых пределах 10000-30000 мМе/мл. На 5-6-й неделе соответствующие нормы лежат в пределах 20000-100000 мМе/мл.
Уровень ХГЧ на 6-7-й неделе беременности
На 6-й акушерской неделе беременности активно формируется маточно-плацентарный кровоток, к концу этого периода сердце малыша уже бьется. На 7-й неделе из-за гормональных и физиологических изменений дают знать о себе ранние признаки беременности — токсикоз, слабость, высокая утомляемость, снижение работоспособности и другие субъективные ощущения. Многие из них связаны, в числе прочего, с повышением уровня хорионического гонадотропина, который помогает развитию плаценты.
На 6-7-й неделе беременности норма ХГЧ лежит в пределах 50000-200000 мМе/мл. Анализ на данный гормон могут назначить в том случае, если нужно удостовериться в правильном течении беременности, ведь именно на последующие 4 недели чаще всего приходятся случаи замирания развития плода.

ХГЧ помогает развиваться плаценте
ХГЧ на 8-й неделе беременности
К концу второго акушерского месяца малыш из одной клетки вырастает в зародыш со сложным устройством организма — у него уже есть головной и спинной мозг, а также мозжечок, различимы глаза и уши, формируются зачатки конечностей с суставами. В организме женщины тоже непрерывно происходят разные изменения: матка увеличивается до 8 см, более чувствительными становятся молочные железы, гормоны по-прежнему сказываются на самочувствии и токсикозе. Развитие плаценты в этот период ускоряется, вместе с этим продолжает повышаться концентрация хорионического гонадотропина в плазме крови и моче.
Так, на 8-й неделе беременности уровень ХГЧ может варьироваться от 40000 до 200000 мМе/мл. Такие рекордные показатели могут сохраняться в течение 1-2 недель, после чего уровень гормона начнет постепенно снижаться.
Норма ХГЧ на 12-й неделе беременности
В конце 3-го акушерского месяца беременности постепенно включается в работу плацента, она забирает все больше функций, связанных с питание и защитой малыша, поэтому уровень хорионического гонадотропина с каждым днем становится все меньше. Средним для 12-й недели беременности считается показатель в 55000 мМе/мл, а толерантные пределы составляют 27500-110000 мМе/мл.
Уровень ХГЧ по неделям беременности: справочная таблица
Норма ХГЧ по неделям в первой половине беременности выглядит следующим образом:

Нужно понимать, что интерпретировать результат анализа может только специалист. Приведенные цифры нельзя назвать эталонными, и при расшифровке необходимо отталкиваться от особенностей здоровья конкретной женщины. Срок беременности по таблице ХГЧ можно определить только условно, а рассчитывать ПДР будет правильнее по результатам анализа и калькулятору хорионического гонадотропина, по последнему дню менструации.
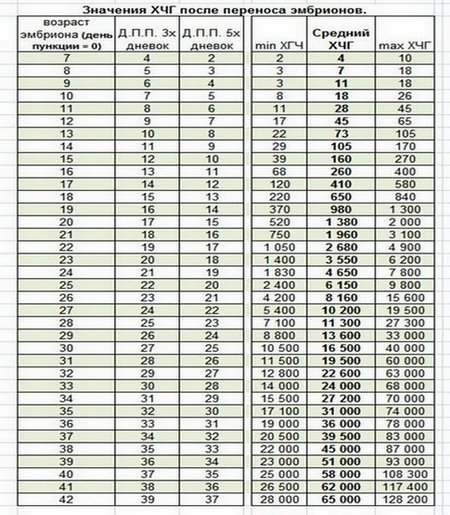
Более точные результаты срока беременности по уровню ХГЧ могут получить женщины, которые использовали ЭКО. В этом случае подсчет ведется со дня переноса культивированных эмбрионов разного возраста либо со дня пункции.

Таблица ХГЧ по дням при беременности с ЭКО
Завышенные показатели бета-ХГЧ при беременности
Оценивая уровень ХГЧ в динамике, врач может контролировать течение беременности. Иногда бывает так, что этот показатель оказывается существенно больше, чем верхнее референтное значение для срока. В этом случае необходимо проверить:
- многоплодную беременность с двумя и более эмбрионами;
- отсутствие у плода хромосомных патологий и иных аномалий развития;
- опухоли трофобластического характера;
- сахарный диабет у беременной.
В двойном тесте первого пренатального скрининга, когда повышается ХГЧ при беременности, проводится дополнительно обследование. Оно позволяет исключить трисомию 21-й хромосомы и связанный с этим синдром Дауна. При подозрении подобной патологии ХГЧ оказывается завышенным почти в 2 раза, а на УЗИ не визуализируется кость переносицы.
ХГЧ, в разы превышающий уровень в 500000 мМе/мл, может оказаться сигналом угрозы для беременности — если наблюдается сильная отслойка плодного яйца и есть риск замирания развития плода. Еще одна патология, при которой концентрация хорионического гонадотропина оказывается ниже нормы, — так называемый пузырный занос, при котором часть хромосом «изгоняется» из плодного яйца. Такое тяжелое состояние может стать причиной множества отложенных проблем, включая метастазы и хорионкарциному. При обнаружении предельно высоких показателей ХГЧ в начале беременности и при ряде сопутствующих симптомов (неконтролируемой рвоты, маточных кровотечений, преэклампсических признаков и др.) нужно как можно быстрее обратиться за экстренной медицинской помощью.

Почему может быть высокий уровень ХГЧ?
Почему снижается уровень ХГЧ?
Низкий уровень ХГЧ на ранних сроках может быть симптомом ряда проблем в ее течение. Недостаточная концентрация этого гормона часто сопровождает развитие синдромов Патау и Эдвардса у плода. Также слабый прирост показателей может быть связан с имплантацией эмбриона не в полости матки, а в фаллопиевой трубе. Внематочная беременность — опасное состояние, которое может не только нанести вред репродуктивному здоровью женщины, но и оказаться угрозой для ее жизни. Диагностируется такое состояние при трансвагинальном УЗИ, когда плодное яйцо в матке не визуализируется.
ХГЧ на ранних сроках беременности может резко упасть при анэмбрионии и антенатальной гибели плода. Замершую беременность провоцируют разные факторы. Если речь идет о хромосомных патологиях, то нежизнеспособный эмбрион перестает развиваться, как правило, до 10-й недель. Также подобные явления могут стать следствием инфекционных заболеваний и запущенного эндометрита. К нарушению питания и последующей гибели эмбриона ведут и аномалии в строении матки и тромбофилия, когда нарушаются процессы свертывания крови.
Частые вопросы
Как расшифровать анализ ХГЧ при беременности?
Как определяется уровень ХГЧ Уровень ХГЧ определяется с помощью тестов, которые показывают концентрацию гормона в моче или крови. Если она ниже 5 мМЕ/мл, анализ отрицательный, в пределах 5—25 мМЕ/мл — сомнительный, а концентрация выше 25 мМЕ/мл свидетельствует о наступлении беременности.
Сколько должно быть ХГЧ по неделям?
1-2 недели беременности – в пределах 50-300 МЕ/л. 3-4 недели – около 1500-5000 МЕ/л. 5-6 недели – примерно 20000-100000 МЕ/л. 7-8 недели – где-то 20000-200000 МЕ/л.
Какой должен быть ХГЧ при беременности на ранних сроках?
Так, на первой неделе беременности уровень ХГЧ находится в пределах 25-155 мЕд/мл. На второй неделе он повышается до103-4870 мЕд/мл. ХГЧ на четвёртой и пятой неделе находится на уровне 2500-82300 мЕд/мл.
Полезные советы
СОВЕТ №1
При подготовке к беременности и во время беременности обязательно проконсультируйтесь с врачом о необходимости исследования уровня ХГЧ в крови.
СОВЕТ №2
Изучите таблицу норм ХГЧ по неделям беременности, чтобы понимать, как должны изменяться показатели в разные периоды.
СОВЕТ №3
Не паникуйте, если уровень ХГЧ не соответствует точно указанным в таблице нормам – индивидуальные особенности могут влиять на результаты анализа.